Efficiency in Language Model Pre-training

Learning Curves Across Datasets and Model Sizes

Andreas Paraskeva · Max Johannes van Duijn · Maarten de Rijke · Suzan Verberne · Jan N. van Rijn

Training large language models is compute- and data-intensive, limiting optimisation in resource-constrained settings and increasing environmental impact. In this work, we investigate how dataset composition, model size, and training budget interact during small-scale pre-training of decoder-only transformers. We train LLaMA-based models of three sizes (20M, 60M, and 180M parameters) on three curated datasets: TinyStories, BabyLM, and a composite English corpus constructed from diverse open-domain sources. Using token-based anchors ranging from 25M to 2B tokens, we derive learning curves and evaluate both formal and functional linguistic competence. Formal competence is measured with BLiMP, and functional competence, defined as natural language understanding (NLU), is evaluated on a subset of GLUE and SuperGLUE. The experimental grid results in 351 evaluated model instances.

Although small relative to current large-scale systems, these models allow controlled analysis of pre-training dynamics under explicit compute constraints.

Models
20M / 60M / 180M
Datasets
TinyStories · BabyLM · Composite Corpus
Token Anchors
25M–2B tokens
Evaluated Instances
351

Finding 1: Dataset Selection Strongly Influences Performance

We find that dataset selection strongly influences model performance. Models trained on the composite corpus consistently outperform those trained on BabyLM and TinyStories. This relative ordering is already observable early during pre-training and remains stable throughout training. In several cases, a smaller model trained on a structurally richer corpus outperforms a larger model trained on a more limited one. Early anchor performance appears representative of converged behaviour, suggesting that compute-aware model comparison can be supported by early-stage evaluation.

BLiMP learning curves
BLiMP learning curves across token-based anchors. Curves group by dataset rather than model size, and the relative ordering stabilises within early anchors, indicating that dataset composition drives formal linguistic competence.
GLUE learning curves
GLUE and SuperGLUE macro-average learning curves. The same dataset-driven ordering is observed for NLU, although separation is less pronounced than for BLiMP.

Finding 2: Scaling Gains Depend on Data Diversity

The effect of model scaling is dataset dependent. For the composite corpus, larger models yield consistent improvements across anchors. For BabyLM, scaling gains are weaker and occasionally unstable, and for TinyStories they are limited. In both BLiMP and downstream heatmaps, richer-data settings present an upward shift in mean scores together with a reduced interquartile range (IQR), indicating more uniform performance across linguistic groups and tasks. These results suggest that additional model parameters are most effectively utilised when paired with sufficient structural and lexical diversity.

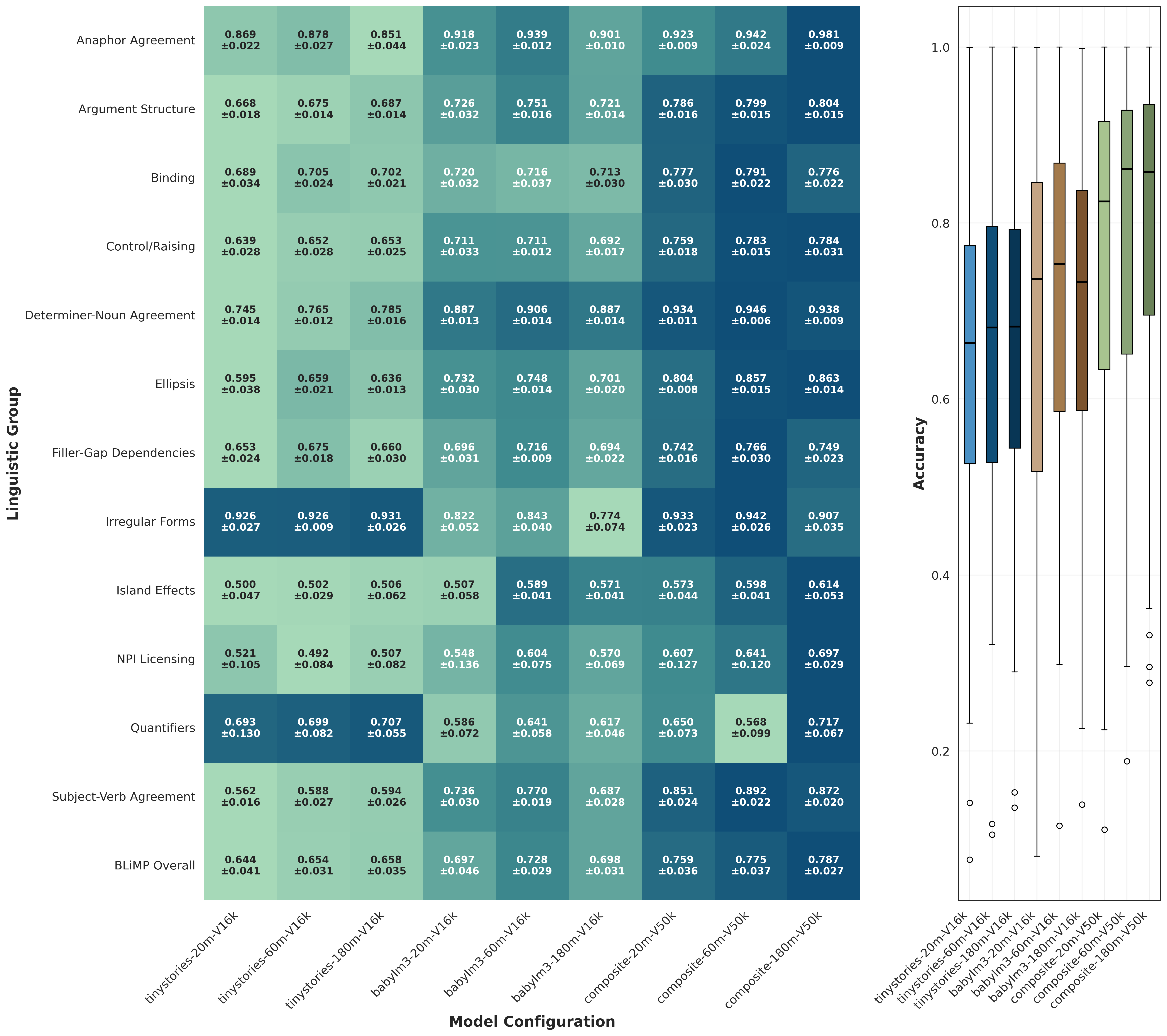
BLiMP heatmap
BLiMP performance across linguistic groups at 2B tokens. Richer corpora show higher accuracy and reduced IQR, reflecting more stable performance across linguistic phenomena.
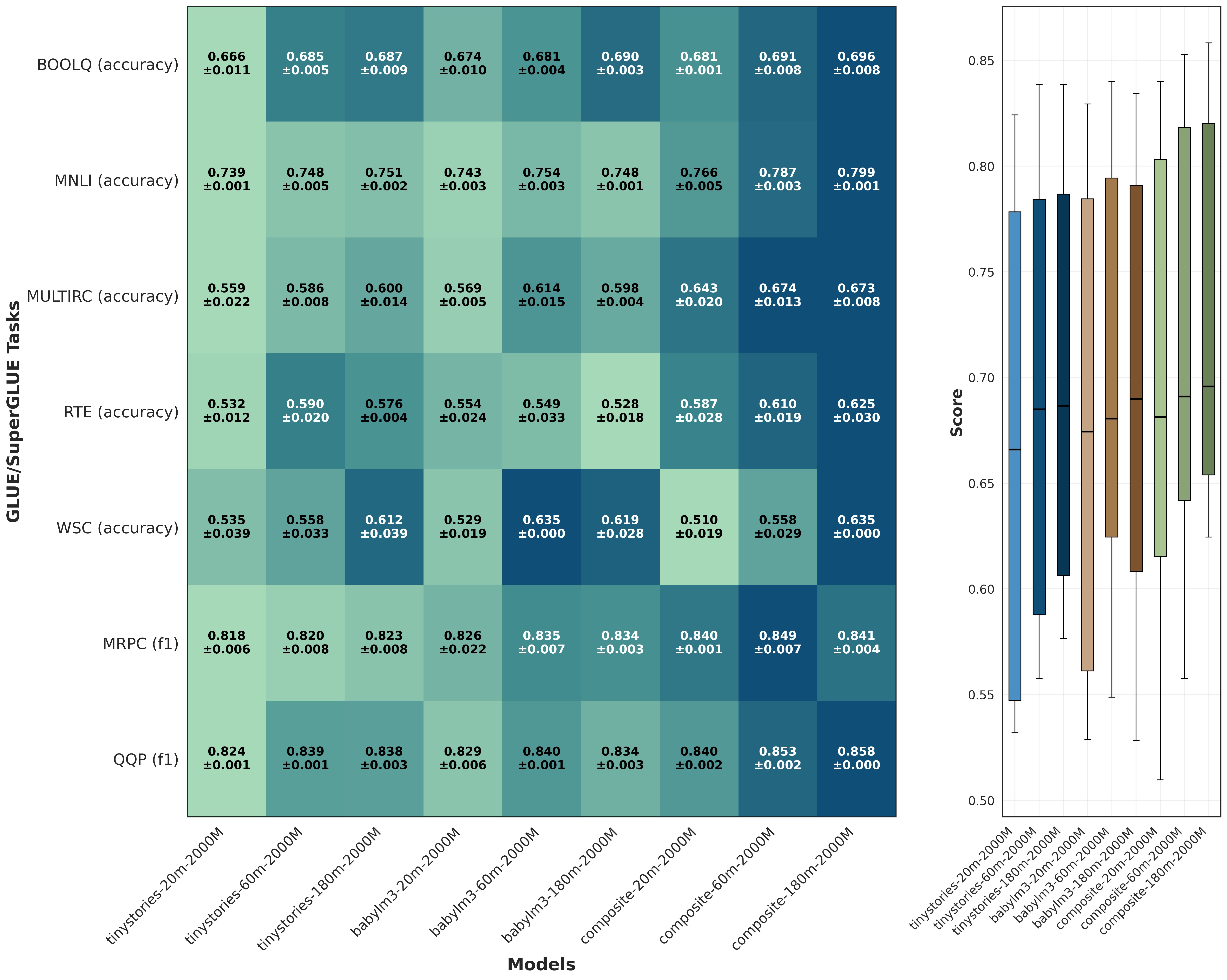
GLUE heatmap
GLUE and SuperGLUE task-level performance at 2B tokens. Clear scaling benefits are observed primarily for models trained on the composite corpus.

Finding 3: Early Anchors Predict Final Model Ranking

Early-anchor evaluations are strongly predictive of final behaviour, supporting compute-efficient early model discarding. Model rankings stabilise quickly across anchors, making early checkpoints useful for screening model-dataset combinations. By 250M tokens, Spearman rank correlation already exceeds 0.85, indicating that relative model ordering is largely established.

BLiMP learning curves
BLiMP learning curves across token-based anchors. Dataset-level ordering emerges early and remains stable, suggesting early checkpoints already capture final trends.
BLiMP global Spearman correlation across anchors
Spearman rank correlation between early-anchor and final BLiMP performance. High correlation at early anchors provides statistical evidence that ranking is stable well before convergence.

Reproducibility

  • Pre-training and (upcoming)fine-tuning code
  • Token-based checkpointing framework
  • Model weights, logs, and learning curves

Repository: github.com/andreasparaskeva/lm-efficient-analysis

Citation

@article{paraskeva2026efficiency,
  title={Efficiency in Language Model Pre-training: Learning Curves Across Datasets and Model Sizes},
  author={Paraskeva, Andreas and van Duijn, Max Johannes and de Rijke, Maarten and Verberne, Suzan and van Rijn, Jan N.},
  year={2026}
}